Download
Research article

Peri-operative mortality and long-term survival after partial versus radical cystectomy for muscle invasive bladder cancer

Alessandro Larcher1,2, Maxine Sun1, Jonas Schiffmann1,3, Zhe Tian4, Shahrokh F. Shariat5, Michael McCormack6, Fred Saad6, Nicolò M. Buffi7, Alberto Briganti2, Giorgio Guazzoni7, Francesco Montorsi2, Pierre I. Karakiewicz1,5
1Cancer Prognostics and Health Outcomes Unit, University of Montreal Health Center, Montreal, Canada
2Division of Oncology, Unit of Urology, URI, IRCCS Ospedale San Raffaele, Milan, Italy
3Martini-Clinic, Prostate Cancer Center Hamburg-Eppendorf, Hamburg, Germany
4Department of Epidemiology, Biostatistics and Occupational Health, McGill University, Montreal, Canada
5Department of Urology, Medical University of Vienna, Vienna, Austria
6Department of Urology, University of Montreal Health Center, Montreal, Canada
7Department of Urology, Humanitas Clinical and Research Center, Rozzano, Italy
Corresponding author: Alessandro Larcher, MD, Cancer Prognostics and Health Outcomes Unit, 264 Blvd. Rene-Levesque E. Room 228, Montreal QC H2X 1P1. Tel: 1–514-890–8000 ext: 35335, Fax: 1–514-227–5103, E-mail: alelarcher@gmail.com
Competing interests: The authors have declared that no competing interests exist.
Abbreviations used: PC, partial cystectomy; RC, radical cystectomy; ACM: all cause ortality; CSM, cancer specific mortality; MVA, multivariable regression models
Received April 16, 2015; Revision received June 21, 2015; Accepted June 22, 2015; Published July 1, 2015
Abstract
Objective: The aim of the study was to compare partial cystectomy (PC) and radical cystectomy (RC) with respect to 90-day mortality as well as long-term, all cause (ACM) and cancer specific mortality (CSM).
Methods: Using the SEER-Medicare database 3913 patients with T2-T3 urothelial carcinoma of the urinary bladder (UCUB) who underwent either RC (n = 3419) or PC (n = 494) were identified. After propensity score matching to reduce potential treatment selection bias, 90-day mortality, ACM-free and CSM-free rates between patients treated with PC and RC were estimated. Multivariable regression models (MVA) addressed 90-day mortality as well as 5-years ACM and CSM.
Results: After matching, 33% (n = 494) and 67% (n = 988) patients treated respectively with PC or RC remained. Median follow-up was 26 months. The 90-day mortality rate was 3.2% (n = 16) after PC and 8.1% (n = 80) after RC (P = 0.001). In MVA, PC vs. RC was associated with a lower 90-day mortality (P < 0.001). At 5 years the ACM-free survival rate was 38% after PC and 40% after RC (P = 0.3) and failed to differ in MVA (P = 0.9). At 5 years the CSM-free survival rate was 59% after PC and 62% after RC (P = 0.2) and also failed to differ in MVA (P = 0.57). The same results were observed after restriction to patients with pT2N0 UCUB.
Conclusions: Relative to RC, PC is associated with lower short-term mortality and the same long-term ACM and CSM rates. These observations should encourage greater consideration to PC in those selected cases when this type of surgery may be applied.
Keywords: bladder cancer, radical cystectomy, partial cystectomy, perioperative mortality, long-term outcomes

Introduction

Radical cystectomy (RC) and partial cystectomy (PC) represent treatment alternatives for muscle invasive urothelial carcinoma of the urinary bladder (UCUB) when cancer is localized to the bladder wall [1-6]. Radical cystectomy represents the standard of care and offers the most complete cancer control for such patients [1].
However, the potential disadvantage of RC consists of its non-negligible perioperative mortality, which may range from 2.4 to 7.9% at centers [7,8] of excellence and from 5.4 to 8.4% in the community [9-11]. Perioperative mortality appears lower for PC, evidenced by 1.8% in-hospital mortality after this procedure [12]. Despite the apparent short-term mortality advantage of PC, the reported 5 years of cancer specific mortality of 70% after PC and 69% after RC [3] suggest that long-term cancer survival rates are virtually the same between the two surgery types. In consequence, the short-term mortality advantage of PC may therefore represents an important consideration when RC might be replaced with PC based on anatomical and UCUB considerations.
To date, no study directly compared PC and RC with respect to short and long term mortality. To address this void, we examined the most contemporary version of the SEER-Medicare database with the intent of quantifying and comparing 90-day mortality, as well long-term cancer control associated with either RC or PC. Our hypothesis stated that 90-day mortality might be lower after PC without compromising long-term cancer control.

Patients and Methods

Study source

The current study relied on the 1991–2009 SEER-Medicare linked database with follow-up updated until December 31, 2011. This database is 98% complete for case ascertainment. The SEER registries identify 28% of all incident cancer cases in the United States. Medicare insures approximately 97% of all Americans aged ≥ 65 years. Linkage to the SEER database is complete for approximately 93% of cases [13].

Study population

Overall 15,080 patients with a primary non-metastatic muscle-invasive (stage T2–T4) UCUB (International Classification of disease for Oncology [ICD–O] site code 67.0, histologic code 8120 or 8130), diagnosed between January 1991 and December 2009 were abstracted. Patient follow-up was available until December 31, 2011.
Patients not enrolled in Medicare parts A or B for a minimum of 12 months prior to their first recorded diagnosis and for 6 months after diagnosis were not considered. Patients who had health maintenance organization enrollment in the year prior to diagnosis or for any period following diagnosis were also excluded. To ensure that all subjects had at least 1 year of claims from which comorbidities are derived, only those aged ≥ 66 years old were considered. Additional exclusions comprised of those with unknown race (n = 36), and unknown marital status (n = 432).
Furthermore, patients treated with surgery ≥ 6 months after diagnosis were not considered in the current study, as a delay in treatment may confound the final results (n = 1185). As current guidelines do not recommend PC in patients with stages T4 [1,2], these (n = 1209) were omitted from our analyses. For the purpose of the study we focused on patients who underwent surgical treatment (RC or PC). This resulted in 3913 assessable individuals with T2-T3, N0, N+ and Nx UCUB. Patients treated with PC, defined as surgical removal of part of the urinary bladder, was identified by 57.6 ICD-9 code.

Study design

The study design was a retrospective, matched-cohort study comparing patients treated with PC and patients treated with RC.

Covariates

Demographic covariates were age at diagnosis, comorbidities derived from the Klabundle’s Charlson comorbidity index (CCI) modification [14], gender, race (white, black, other), marital status (married, unmarried), socioeconomic status (SES; composite variable of income, education, and poverty levels [15]) and population density status (urban, rural).
Cancer-related covariates comprised tumor grade and cancer stage. The latter was coded according to the AJCC staging system as tumor stage (T2, T3) and nodal stage (N0, N+, Nx).
Treatment-related covariates were administration of neo-adjuvant or adjuvant chemotherapy and administration of neo-adjuvant or adjuvant radiotherapy. Specifically patients who had chemotherapy claims 6 months prior to cystectomy and a claim for RC 6 months before the first chemotherapy claim were considered to have been treated either with neo-adjuvant chemo- or radiotherapy, while other patients were considered to have been treated with adjuvant chemo- or radiotherapy.

Outcomes

The first endpoint of the study was to compare the 90-day mortality between PC and RC patients.
The second and third endpoints of the study were to compare all cause mortality (ACM) and cancer specific mortality (CSM) between PC and RC patients 5 years after surgery. Cancer specific mortality was defined as death cause by bladder cancer (ICD9 188, ICD 10 C67).

Statistical analyses

Means, medians and ranges were reported for continuous variables. Frequencies and proportions were reported for categorical variables.
Because of inherent differences among patients included in the two treatment groups (PC vs. RC), adjustment was performed using a 1-to-2 nearest neighbour propensity score–matching ratio [16]. Propensity scores were computed by modelling a logistic regression with the dependent variable as the odds of receiving PC and the independent variable as age of diagnosis, CCI, gender, race, marital status, socioeconomic status, population density status, tumor stage, nodal stage, tumor grade, any neo-adjuvant therapy administration and any adjuvant therapy administration. Subsequently, covariate balance between the matched groups was examined [17].
We compared the 90-day mortality, ACM and CSM rates between patients treated with PC and those treated with RC. Univariable (UVA) and multivariable regression models (MVA) were fitted to predict 90-day mortality (logistic) as well as ACM and CSM (Cox). Kaplan-Meier plots were used to depict graphically the ACM-free survival and the CSM-free survival rates after stratification according to the type of intervention received (PC vs. RC). For purpose of sensitivity analysis, all endpoints were re-addressed in patients with stage pT2N0 UCUB, which may represent the ideal candidate for PC.
All statistical tests were performed using R software environment for statistical computing and graphics (Vienna, Austria, version 3.0.1). All tests were 2-sided with a significance level set at P < 0.05.
Table 1. Descriptive characteristics of 3913 patients with muscle-invasive bladder cancer treated with radical (n = 3419) or partial cystectomy (n = 494), Surveillance, Epidemiology, and End Results (SEER) Medicare, 1991–2009. CCI, Charlson comorbidity index
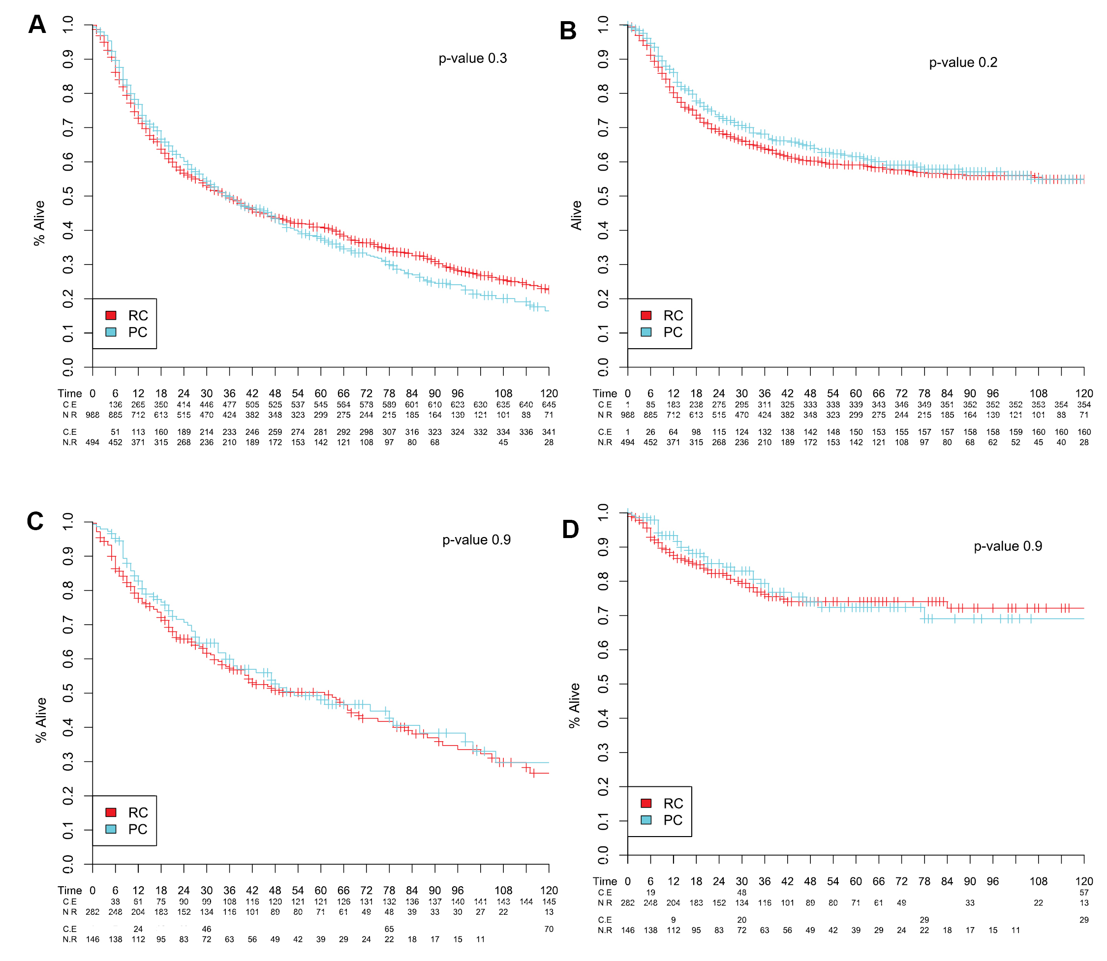
Figure 1. A. Kaplan-Meier plot depicting all cause mortality-free survival in the matched population stratified according to type of surgery: partial cystectomy vs. radical cystectomy. B. Kaplan-Meier plot depicting cancer specific mortality-free survival in the matched population stratified according to type of surgery: partial cystectomy vs. radical cystectomy. C. Kaplan-Meier plot depicting all cause mortality-free survival in patients with pT2N0 urothelial carcinoma of the urinary bladder stratified according to type of surgery: partial cystectomy vs. radical cystectomy. D. Kaplan-Meier plot depicting cancer specific mortality-free survival in patients with pT2N0 urothelial carcinoma of the urinary bladder stratified according to type of surgery: partial cystectomy vs. radical cystectomy. Time, months after surgery; C.E., cumulative events; N.R., number of patients at risk

Results

Baseline characteristics

Overall, 3913 patients were included in the study (Table 1). Median (range) age at diagnosis was 75 (66–95). Mean and median follow-up times were 44 and 26 months. Fewer patients (494; 12.7%) were treated with PC while most (3419; 87.4%) were treated with RC. Statistically significant differences between patients treated with PC and RC were recorded according to age, CCI, marital status, socioeconomic status and nodal stage (all P < 0.05).
Following propensity score matching for all the covariates, 494 (33.3%) and 988 (66.7%) patients treated with PC or RC remained. The mean standardized differences of patient characteristics between the two groups were < 10%, indicating a high degree of similarity in the distribution of all the covariates in both populations. All subsequent analyses were based on the post-propensity matched cohort.

Perioperative mortality

The 90-day mortality rate (Table 2) was 3.2% (n = 16) after PC and 8.1% (n = 80) after RC (OR 0.4, P = 0.001). In MVA, PC was associated with lower 90-day mortality than RC (OR 0.4, P < 0.001).

All cause mortality

At 5 years the ACM-free survival rate (Table 3, Fig. 1A) was 38% after PC and 40% after RC (HR 1.1, P = 0.3). In MVA, no significant difference was recorded between PC and RC (HR 1.01, P = 0.9).

Cancer specific mortality

At 5 years the CSM-free survival rate (Table 3, Fig. 1B) was 62% after PC and 59% after RC (HR 0.9, P = 0.2). In MVA, no significant difference was recorded between PC and RC (HR 0.8, P = 0.06).

Sensitivity analysis

In patients with pT2N0 UCUB (n = 428), 90-day mortality rate was 2.1% (n = 3) after PC and 8.2% (n = 23) after RC (OR 0.2, P = 0.02). At 5 years the ACM-free survival rate was 48% after PC and 51% after RC (HR 0.9, P = 0.9; Fig. 1C). At 5 years, the CSM free survival rate was 72% after PC and 74% after RC (HR 0.9, P = 0.9, Fig. 1D). These findings were confirmed in MVA.
Table 2. Frequencies of 90-day mortality and logistic regression analysis predicting 90-day mortality in 1482 patients treated with radical (n = 988) or partial cystectomy (n = 494), Surveillance, Epidemiology, and End Results (SEER) Medicare, 19912009.
Table 2 (continued). OR, odd Ratio; CI, % confidence interval; CCI: Charlson comorbidity index
Table 3. Estimates of 5-years ACM-free survival, 5-years CSM-free survival and Cox-regression analysis predicting ACM and CSM in 1482 patients treated with radical (n = 988) or partial cystectomy (n = 494), Surveillance, Epidemiology, and End Results (SEER) Medicare, 1991–2009.
Table 3 (continuned). ACM, all cause mortality; CSM, cancer specific mortality; HR, hazard ratio; CI, 95% confidence Interval; CCI, Charlson comorbidity index

Discussion

Our hypothesis stated that short-term mortality, such as 90-day mortality, might be lower after PC than after RC. Moreover, we postulated that PC does not compromise long-term oncological control, relative to RC. To test this hypothesis, we relied on the most contemporary version of the SEER-Medicare database (19912009), which represents the largest North American repository of oncological data. Our results confirmed our hypothesis and showed several important findings.
First, the 3.2% 90-day mortality rate recorded after PC was significantly lower than the 8.1% mortality rate recorded after RC (OR 0.4, P = 0.001). This finding was confirmed in MVA, where PC exerted a protective effect on 90-day mortality (OR 0.4, P < 0.001) and represented the most significant predictor of 90-day mortality, among fifteen tested variables.
Second, ACM analyses showed a 38% and 40% ACM-free survival rates at 5-years, respectively after PC and RC (HR 1.1, P = 0.3). Lack of statistically significant difference was confirmed in MVA (HR 1.01; P = 0.9).
Third, CSM analyses showed a 62% and 59% CSM-free survival rates at 5-years respectively after PC and RC (HR 0.9, P = 0.2). Lack of statistically significant difference was confirmed in MVA (HR 0.8,P = 0.6).
Finally, lower 90-day mortality after PC vs. RC (OR 0.2, P = 0.02), as well as virtually the same ACM-free and CSM-free survival rates were recorded when all analyses were repeated within patients with pT2N0 UCUB.
Taken together, these three key results of our study may be summarized as 1) lower 90-day mortality after PC, 2) same ACM-free survival and 3) same CSM-free survival after either PC or RC. These points suggest that from a short-term perspective PC represents a less morbid procedure that results in fewer perioperative deaths. However, from a long-term perspective, PC does not undermine either ACM-free or CSM-free survival in our population. In consequence, PC should be given very strong consideration, when this type of surgery can be performed according anatomical and UCUB characteristics.
To the best of our knowledge the current report represents the first assessment of PC and RC short-term as well as long-term outcomes within the exact same population. Previous analyses have examined the same endpoints but in different populations. In consequence, the present study is the only one that allows the most bias free comparisons and conclusions.
Previous short-term mortality studies in RC patients are numerous and identify rates from 2.4 to 8.4% [7-9]. Unfortunately these rates are oftentimes assessed at different time-points after PC (e.g. 30-day or 90-day mortality) or are limited to hospitalized patients. Additionally, short-term mortality figures after PC are scarce and can only be found in one large population-based analysis that is restricted to in-patient outcomes [12]. In consequence, comparison of short-term mortality rates is virtually impossible.
The availability of ACM-free or CSM-free long-term survival rates after PC and RC, which may be validly compared between the two types of surgery, is also limited. For example, Kassouf et al., Smaldone et al. and Knoedler et al. relied on single institution case series of 37, 25, and 86 patients respectively [4-6]. Of those, only Knoedler et al. used a matched design with RC patients [4-6]. Finally, Capitanio et al. used a large-scale (n = 7243) population based cohort in non-randomized study design that directly compared PC to RC [3]. Unfortunately, the SEER data were not linked to Medicare records. In consequence, adjustment for baseline comorbidities, which might represent critical confounders, was not possible. Based on these critical differences, that distinguish the current study, our findings cannot be validly compared with previous data. Nonetheless, the current PC utilization rate of 13% is consistent with previously reported rates of 13% in the SEER registry [3] and of 17% in the NIS [12].
Several hypotheses may be proposed to explain the observed advantage of PC over RC, relative to short-term mortality and lack of difference relative to long term mortality. First, the inherent difference in the extent and type of surgery accounts for the observed difference. PC is limited to the urinary bladder and lymph nodes. Conversely, RC requires the use of bowel segment for urinary diversion. Bowel surgery predisposes to additional and potentially more serious complications and longer convalescence [18]. Other PC advantages may consist of lower infection rates, faster patients mobilization, decreased need for intensive care unit stay, decreased need for invasive procedure or monitoring such as arterial catheters and naso-gastric tubes. The combined effects of those differences between PC and RC may result in lower short-term mortality after PC [12].
Finally, despite our attempt to adjust for a comprehensive panel of measured baseline differences that distinguish PC and RC candidates, unmeasured differences might persist, since variables that are recorded within the SEER-Medicare only can be used to account for potential selection biases. For example, information about tumor size, tumor location, and the presence of concomitant CIS was not available, given the administrative nature of our dataset. Under this light, it is important to emphasize that not all patients are PC candidates. For example, patients with cT2N0 UCUB may harbour multifocal tumors, CIS, or tumors in proximity of bladder neck, which represent cases where PC is clearly not applicable. The exclusion of patients with the above-mentioned characteristics, invariably introduces a favourable selection bias among PC patients. This bias towards more favourable cancers among PC patients probably persists despite the best statistical effort such as propensity-score matching and despite the use of sensitivity analyses (restriction to patients with pT2N0 UCUB). Therefore, our study is still affected by selection biases, just like all other studies that compared PC or other bladder sparing technique with RC, in a non-randomized setting [19,20].
Moreover, the lack of information about the anatomical extent of lymph node dissection as well as the lack of a central pathology review represents another limitation of our study, since evaluation of lymph node dissection quality was not applicable.
Finally, the current cohort includes patients over 65 years of age. This age distribution may be interpreted as a limitation. However, the current age category (> 65 years) represents the main RC and PC target population, where perioperative mortality takes its maximal toll [21,22].

Conclusions

Partial cystectomy is associated with lower short-term mortality relative to RC. Additionally PC does not seem to compromise long-term cancer control. Taken together, these observations should encourage urologist to give larger consideration to PC when such procedure is possible based on anatomical and UCUB considerations. However, partial cystectomy should not be considered a primary treatment option in the vast majority of patients with muscle invasive UCUB.

Acknowledgements

Study concept and design: Larcher, Sun, Schiffmann, Tian, Karakiewicz; Acquisition of data: Larcher, Sun, Schiffmann, Tian; Analysis and interpretation of data: Larcher, Sun, Schiffmann, Tian, Karakiewicz; Drafting of the manuscript: Larcher, Sun, Schiffmann, Tian, Karakiewicz; Critical revision of the manuscript for important intellectual content: Shariat, McCormack, Saad, Buffi, Briganti, Montorsi, Guazzoni, Karakiewicz; Statistical analysis: Larcher, Sun, Schiffmann, Tian; Obtaining funding: none; Supervision: Buffi, Briganti, Karakiewicz.

References

  1. Witjes JA, Compérat E, Cowan NC, De Santis M, Gakis G, et al. (2013) EAU guidelines on muscle-invasive and metastatic bladder cancer: summary of the 2013 guidelines. Eur Urol 65: 778-792. doi: 10.1016/j.eururo.2013.11.046. [View Article] [PubMed] [Google Scholar]
  2. Gakis G, Efstathiou J, Lerner SP, Cookson MS, Keegan KA, et al. (2012) ICUD-EAU International Consultation on Bladder Cancer 2012: Radical cystectomy and bladder preservation for muscle-invasive urothelial carcinoma of the bladder. Eur Urol 63: 45-57. doi: 10.1016/j.eururo.2012.08.009. [View Article] [PubMed] [Google Scholar]
  3. Capitanio U, Isbarn H, Shariat SF, Jeldres C, Zini L, et al. (2009) Partial cystectomy does not undermine cancer control in appropriately selected patients with urothelial carcinoma of the bladder: a population-based matched analysist. Urology 74: 858-864. doi: 10.1016/j.urology.2009.03.052. [View Article] [PubMed] [Google Scholar]
  4. Kassouf W, Swanson D, Kamat AM, Leibovici D, Siefker-Radtke A (2006) Partial cystectomy for muscle invasive urothelial carcinoma of the bladder: a contemporary review. of the M. D. Anderson Cancer Center experience. The Journal of urology 175: 2058-2062. doi: 10.1016/S0022-5347(06)00322-3. [View Article] [PubMed] [Google Scholar]
  5. Smaldone MC, Jacobs BL, Smaldone AM, Hrebinko Jr RL (2008) Long-term results of selective partial cystectomy for invasive urothelial bladder carcinoma. Urology 72: 613-616. doi: 10.1016/j.urology.2008.04.052. [View Article] [PubMed] [Google Scholar]
  6. Knoedler JJ, Boorjian SA, Kim SP, Weight CJ, Thapa P (2012) Does partial cystectomy compromise oncologic outcomes for patients with bladder cancer compared to radical cystectomy? A matched case-control analysis. The Journal of urology 188: 1115-1119. doi: 10.1016/j.juro.2012.06.029. [View Article] [PubMed] [Google Scholar]
  7. Garg T, Chen LY, Kim PH, Zhao PT, Herr HW, et al. (2014) Preoperative serum albumin is associated with mortality and complications after radical cystectomy. BJU Int 113: 918-923. doi: 10.1111/bju.12405. [View Article] [PubMed] [Google Scholar]
  8. Aziz A, May M, Burger M, Palisaar R, Trinh Q, et al. (2013) Prediction of 90-day mortality after radical cystectomy for bladder cancer in a prospective European multicenter cohort. Eur Urol 66: 156-163. doi: 10.1016/j.eururo.2013.12.018. [View Article] [PubMed] [Google Scholar]
  9. Porter MP, Gore JL, Wright JL (2010) Hospital volume and 90-day mortality risk after radical cystectomy: a population-based cohort study. World J Urol 29: 73-77. doi: 10.1007/s00345-010-0626-3. [View Article] [PubMed] [Google Scholar]
  10. Konety BR, Allareddy V, Herr H (2006) Complications after radical cystectomy: analysis of population-based data. Urology 68: 58-64. doi: 10.1016/j.urology.2006.01.051. [View Article] [PubMed] [Google Scholar]
  11. Roghmann F, Sukumar S, Ravi P, Trinh VQ, Meskawi M, et al. (2013) Radical cystectomy in the elderly: national trends and disparities in perioperative outcomes and quality of care. Urol Int 92: 27-34. doi: 10.1159/000353091. [View Article] [PubMed] [Google Scholar]
  12. Kates M, Gorin MA, Deibert CM, Pierorazio PM, Schoenberg MP (2014) In-hospital death and hospital-acquired complications among patients undergoing partial cystectomy for bladder cancer in the United States. Urologic oncology 32. Urol Oncol 53: 59-14. doi: 10.1016/j.urolonc.2013.08.024. [View Article] [PubMed] [Google Scholar]
  13. Warren JL, Klabunde CN, Schrag D, Bach PB, Riley GF (2002) Overview of the SEER-Medicare data: content, research applications, and generalizability to the United States elderly population. Med Care 40: 3-18. doi: 10.1097/01.MLR.0000020942.47004.03. [View Article] [PubMed] [Google Scholar]
  14. Klabunde CN, Potosky AL, Legler JM, Warren JL (2000) Development of a comorbidity index using physician claims data. J Clin Epidemiol 53: 1258-1267. [PubMed] [Google Scholar]
  15. Sun M, Abdollah F, Liberman D, Abdo A, Thuret R, et al. (2011) Racial disparities and socioeconomic status in men diagnosed with testicular germ cell tumors: a survival analysis. Cancer 117: 4277-4285. doi: 10.1002/cncr.25969. [View Article] [PubMed] [Google Scholar]
  16. D'Agostino Jr, R.B (1998) Propensity score methods for bias reduction in the comparison of a treatment to a non-randomized control group. Stat Med 17: 2265-2281. [PubMed] [Google Scholar]
  17. Ho DE, Imai K, King G, Stuart E (2003) MatchIt: Nonparametric preprocessing for parametric causal inference. J Stat Softw 42: [Google Scholar]
  18. Lawrentschuk N, Colombo R, Hakenberg OW, Lerner SP, M?nsson W, et al. (2010) Prevention and management of complications following radical cystectomy for bladder cancer. Eur Urol 57: 983-1001. doi: 10.1016/j.eururo.2010.02.024. [View Article] [PubMed] [Google Scholar]
  19. Kaufman DS, Winter KA, Shipley WU, Heney NM, Wallace 3rd, H.J. , et al. (2008) Phase I-II RTOG study (99-06) of patients with muscle-invasive bladder cancer undergoing transurethral surgery, paclitaxel, cisplatin, and twice-daily radiotherapy followed by selective bladder preservation or radical cystectomy and adjuvant chemotherapy. Urology 73: 833-837. doi: 10.1016/j.urology.2008.09.036. [View Article] [PubMed] [Google Scholar]
  20. Efstathiou JA, Spiegel DY, Shipley WU, Heney NM, Kaufman DS, et al. (2011) Long-term outcomes of selective bladder preservation by combined-modality therapy for invasive bladder cancer: the MGH experience. Eur Urol 61: 705-711. doi: 10.1016/j.eururo.2011.11.010. [View Article] [PubMed] [Google Scholar]
  21. Vickers AJ, Bennette C, Kibel AS, Black A, Izmirlian G, et al. (2012) Who should be included in a clinical trial of screening for bladder cancer?: a decision analysis of data from the Prostate, Lung, Colorectal and Ovarian Cancer Screening Trial. Cancer 119: 143-149. doi: 10.1002/cncr.27692. [View Article] [PubMed] [Google Scholar]
  22. Lughezzani G, Sun M, Shariat SF, Bud?us L, Thuret R, et al. (2010) A population-based competing-risks analysis of the survival of patients treated with radical cystectomy for bladder cancer. Cancer 117: 103-109. doi: 10.1002/cncr.25345. [View Article] [PubMed] [Google Scholar]