Download
Research article

Human urinary exosomes in bladder cancer patients: properties, concentrations and possible clinical application

Andrew Riches1*, Simon Powis1, Peter Mullen1, David Harrison1, Christian Hacker1, John Lucocq1, James Bowness1, Alex Chapman2, Ruth Cameron2, Liza McLornan2, David J. Chinn3, Steve Leung2
1School of Medicine, University of St. Andrews, Scotland, UK
2Department of Urology, Victoria Hospital, Kirkcaldy, Scotland, UK
3Research and Development Office, Queen Margaret Hospital, Dunfermline, Scotland, UK
*Corresponding author: Andrew Riches, School of Medicine, University of St. Andrews KY16 9TF, Scotland, UK, Email: acr1@st-andrews.ac.uk
Conflict of interest: The authors declare that no competing interests exist.
Received August 11, 2015; Revision received October 4, 2015; Accepted November 20, 2015; Published December 11, 2015
ABSTRACT
OBJECTIVE: High grade bladder cancer is extremely aggressive. Early detection is thus an important challenge. Development of non-invasive diagnostic tools particularly using urine samples could be of importance in the diagnosis and surveillance of these patients. Exosomes are small vesicles present in the urine and have the potential to be used as biomarkers of cancer. Thus studies of the properties and concentrations of these particles in bladder cancer patients are of importance.
MATERIALS AND METHODS: The concentration of exosomes present in urine was determined by nanoparticle tracking analysis using a Nanosight LM10 unit. Clinical urine samples were routinely collected and fixed using Preservcyt. The morphology of exosomes was studied in electron micrographs and characteristic exosome markers using Western blots.
RESULTS: The exosome concentration of fixed samples stored at room temperature was constant for 48 hours and the same as fresh samples. Exosomes derived from patients presenting for a transurethral resection of their bladder tumor exhibited the exosome markers ALIX and TSG101 and also the classic cup shaped appearance in electron micrographs. The concentration of exosomes in patients presenting for transurethral resection of a bladder tumor was significantly greater than in patients presenting for check cystoscopy with no recurrence (median 77.2 × 108 per ml compared with 38.8 × 108 per ml, P < 0.001). A ROC analysis (area under the curve 77.4%) suggested that a suitable cut-off concentration of 85 × 108 per ml is associated with a sensitivity of 43% and specificity of 91% for diagnosing bladder cancer.
CONCLUSIONS: Thus the concentration and properties of exosomes can be conveniently studied in fixed urine samples derived from bladder cancer patients. The characteristic properties of exosomes were preserved and increased numbers were found in patients presenting for transurethral resection of their tumor. With an appropriate cut-off value, urinary exosome concentrations may have utility in excluding a cancer recurrence when monitoring patients successfully treated for bladder cancer.
Keywords: ALIX, bladder cancer, exosomes, TSG101

INTRODUCTION

Exosomes are small vesicles released from both normal and tumor cells and are found in large numbers in the blood and urine [1,2]. These vesicles contain proteins and RNA species and characteristic cell surface markers. Nanoparticle tracking analysis (NTA) has been widely used to determine the size profiles and concentrations of exosomes derived from both normal and tumor cells in culture [3,4]. Exosomes have a wide range of biological activity capable of modulating the immune response [5], inducing angiogenesis [6], modulating niche formation in metastasis [7] and influencing tumor growth [8,9].
As exosomes exhibit cell surface markers and contain microRNA, they present potential targets to be used as biomarkers of cancer [10,11]. Promising results have been reported for ovarian cancer [12] and for non-small cell lung cancer [13,14].
Bladder cancer represents an important challenge to early detection as high grade bladder cancer is extremely aggressive. Beckham et al. [15] have demonstrated that bladder cancer derived exosomes from both cell lines and urine of patients promote angiogenesis and bladder cancer migration. They also showed that bladder cancer derived exosomes contained high concentrations of EDIL-3 relative to exosomes derived from healthy controls. Silencing of EDIL-3 expression blocked the angiogenic and tumor migratory effects of bladder cancer derived exosomes. Similarly Chen et al. [16] have identified the protein TACSTD2 in association with bladder cancer exosomes and further demonstrated a strong association with bladder cancer on analysis of urine samples.
Thus the analysis of exosomes from easily accessible and routinely collected urine samples has potential as a new tool in bladder cancer studies.

MATERIALS and METHODS

Collection and processing of urine samples

Urine samples were collected from patients presenting for check cystoscopy (Table S2) or for transurethral resection of a bladder cancer (Table S1). Preservcyt (Cytec, UK) was added (2:1 urine Preservcyt) to the samples for analysis of exosome numbers. Samples were obtained with informed consent (LREC 07/S1402/48). All samples were analysed within 48 hours of fixation.

Analysis of exosome concentration

Exosome concentrations were determined using a Nanosight LM10 analysis unit with a 645 nm laser (Nanosight, Salisbury, United Kingdom). The urine samples were spun initially at 300 × g for 10 min to remove any cells and debris, followed by centrifugation in 1.5 ml Eppendorf tubes at 20,000 × g for 20 min to remove large vesicles. The resultant supernatants were diluted appropriately to give counts in the linear range of the instrument (i.e., 3 × 108 to 109 per ml). Videos of the particles undergoing Brownian motion in the laser beam were recorded and analysed using the Nanosight Tracking Analysis software (NTA 2.3) which determines the exosome concentration and size distribution. Three videos of 30 sec duration were recorded for each sample with a shutter speed setting of 1500 (exposure time 30 ms) and camera gain of 560. For analysis the detection threshold was set at 6 and at least 1000 tracks were analysed for each video.

Western blotting

The fixed urine samples were spun at 300 × g for 10 min followed by centrifugation at 10,000 × g for 1 hour and then 100,000 × g for 2 hours at 4ºC on a Beckman Coulter Optima L-100×P ultracentrifuge to collect a pellet of exosomes before determining total protein content using the Bicinchoninic acid (BCA) assay. The concentrated samples of exosomes were then suspended in reducing buffer, denatured for 60 min at 60ºC, separated by 10% sodium dodecyl sulphate polyacrylamide gel electrophoresis (SDS-PAGE) and then finally transferred to Immobilon-P PVDF membranes (Millipore: IPVH00010). After transfer, the membranes were blocked in LiCor Blocking Buffer (diluted 50:50 in PBS) for 1hr at room temperature before incubating with primary antibodies overnight at 4ºC. Antibodies used were as follows: Alix (Santa Cruz; sc53538 at 1:1000), TSG101 (Santa Cruz; sc7964 at 1:1000), MCM2 (Cytosystems; 1:1000), CD9 (Santa Cruz; sc51575 at 1:1000) and actin (Abcam; ab8227 at 1:2000). Detection was then carried out by first washing membranes in 0.1% PBS-Tween20 (3 × 5 min) followed by a 45 min incubation at room temperature with fluorescently-labelled Goat anti-Mouse IRDye 800CW secondary antibody (LiCor; 926-32210) at 1:10,000 dilution in LiCor Blocking Buffer (diluted 50:50 in PBS) containing 0.01% SDS. After further washing in 0.1% PBS-Tween20 (3 × 5 min) and PBS (3 × 5 min), visualisation was carried out using a LiCor Odyssey Scanner.

Transmission electron microscopy

For ultrastructural analysis, samples were adsorbed onto pioloform-coated 100 mesh copper grids (Agar Scientific, Stansted, UK), washed three times with MilliQ water, followed by contrasting and embedment in 3% (w/v) uranyl acetate/2% (w/v) methyl cellulose (mixed 1.5:9, see Lucocq et al. [17]). The dried samples were analysed using a JEOL 1200-EX transmission electron microscope operated at 80kv and images taken using a Gatan Orius 200 digital camera (Gatan, Abingdon, Oxon, UK) at a nominal magnification of 2000 or 3000×. Exosomes were identified by the presence of a complete or partial membrane profile and images were selected using systematic uniform random sampling [18].

Statistical analysis

The results have been expressed as mean ± standard error. Differences between the groups were considered significant at P < 0.05. Data were interpreted using one way analysis of variance and unpaired t test using Welch’s correction when variances were significantly different. The concentration of exosomes in cancer and non-cancer patients were subjected to a receiver operating characteristic (ROC) curve to determine an optimum cut-off value associated with presence of a bladder tumor.

RESULTS

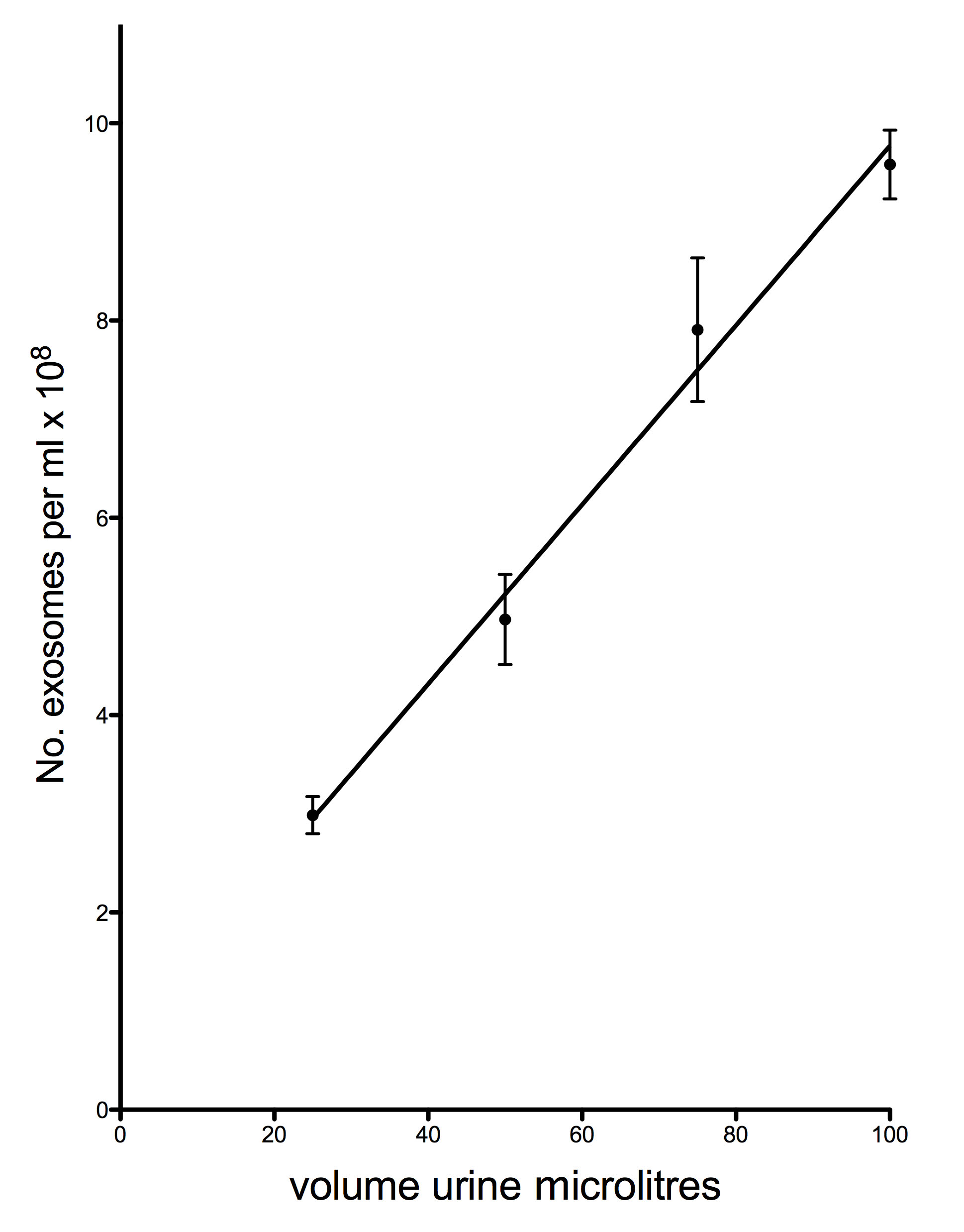
Urine was collected from 37 patients with Transitional Cell Carcinoma (TCC) and 79 patients attending for check cystoscopy but who did not have evidence of recurrence or inflammatory changes in the bladder. The average age of the 37 patients with TCC was 75 years (40–94, SD = 12.1) and the 79 patients attending for check cystoscopy was 71 years (42–92, SD = 10.8). Of the 37 patients with TCC 70% were male and in the check cystoscopy group 62% were male. Exosome concentrations were determined in urine samples after appropriate centrifugation using the Nanosight Analysis unit and software. Different volumes of a urine sample were made up to 1 ml in sterile DPBS thus giving defined dilutions. A linear relationship between the concentration of exosomes per ml and the dilution was established (Fig. 1).
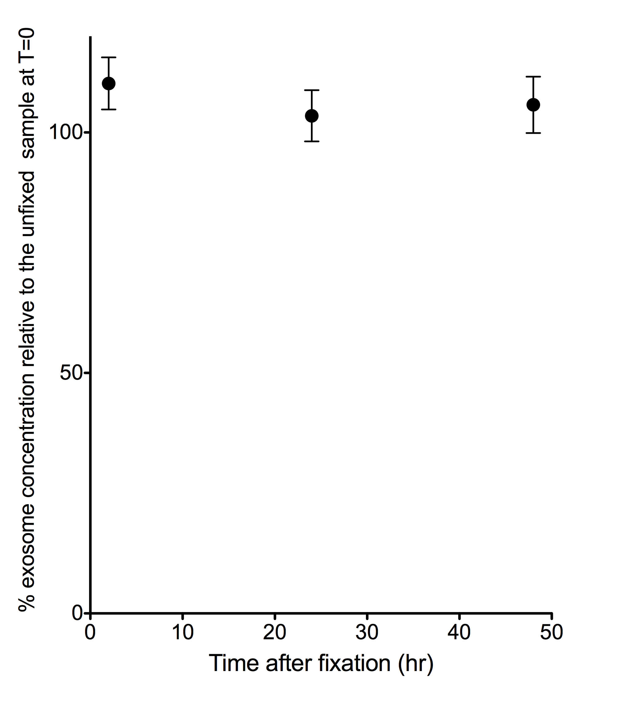
Exosome concentrations were also determined in nine freshly collected urine samples and followed in the same samples after fixation (2:1 urine/Preservcyt) for 48 hours. There was no difference in the exosome concentration between the samples analysed at 2, 24 and 48 hours (Fig. 2, one way analysis of variance P = 0.71 with equal variances for each time point P = 0.96).
The size range of exosomes indicated the typical profile of microvesicles with a size range of 50–300 nm with peak concentrations in the 100–140 nm range (Fig. 3).
Analysis of cell surface markers on exosomes from 5 patients with bladder cancer (L15, L24, L25, L27 and L30) using Western blots demonstrated the presence of ALIX and TSG101 as characteristic markers of exosomes (Fig. 4).
The exosomes also exhibited the characteristic cup shaped pattern when observed in samples fixed for electron microscopy (Fig. 5). Samples L7 and L14 were from control patients without bladder cancer and L18 and L23 from patients with bladder cancer.
Figure 1. Exosome concentration in a urine sample measured using the Nanosight LM10 showing a linear relationship when diluted (3 replicates, Y = (9.1 × 106)X + (0.68 × 108).
Figure 2. The exosome concentration, as a percentage of the concentration of the unfixed sample at time 0, was compared in fixed urine samples at 2, 24 and 48 hours after fixation for urines collected from 9 healthy controls.
Figure 3. Examples of the size profiles of exosomes analysed on the Nanosight LM10. A and B. Profiles of urinary exosomes collected from patients with bladder cancer. C and D. Profiles from patients presenting at check cystoscopy and found not to have a recurrence.
Figure 4. Examples of Western blots demonstrating the presence of characteristic exosome markers. A. ALIX (predicted molecular weight of 100kDa). B. Tsg101 (predicted molecular weight of 45 kDa) on exosomes collected from the urine of 5 patients with bladder cancer.
Figure 5. Transmission electron micrograph of exosomes in urine samples derived from L7 and L14 patients presenting for check cystoscopy without a recurrence of bladder cancer and L18 and L23 patients presenting with bladder cancer.
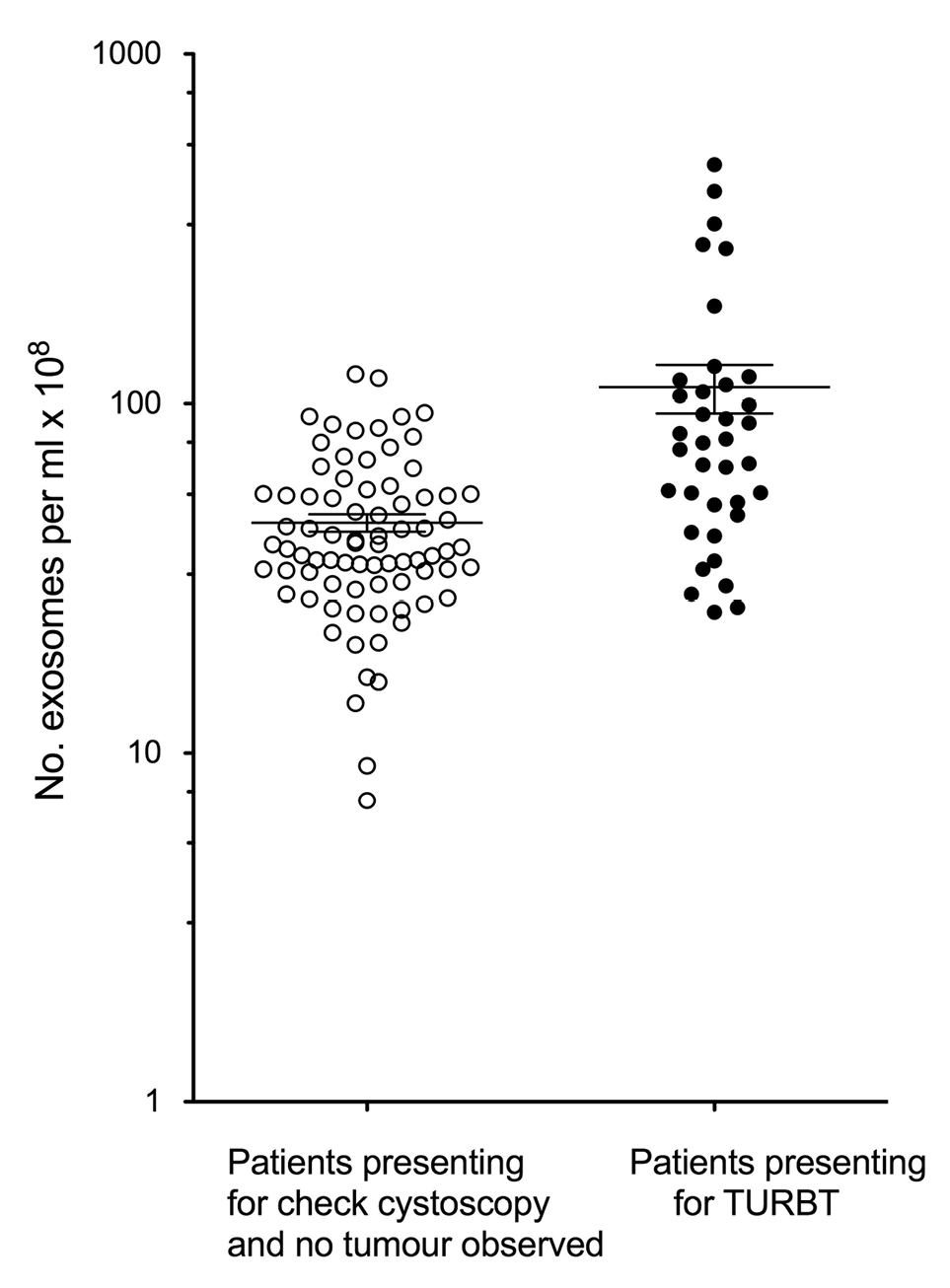
Table 1. Exosome concentrations in urine of patients with bladder cancer and patients presenting for check cystoscopy and found to have no evidence of a recurrence.
Figure 6. Concentration of exosomes in urine samples collected from patients presenting for check cystoscopy without a recurrence (control patients) and patients with bladder cancer (patients presenting for TURBT).
Figure 7. Receiver operating characteristic curve for urine concentration of exosomes.
The distribution of concentration of exosomes differed between patients with a known tumor presenting for a transurethral resection of their bladder tumor and patients presenting for a check cystoscopy with no evidence of a recurrence (Fig. 6, Table 1). The concentration of exosomes was log transformed and that in cancer patients was significantly greater than that in control patients (t = 5.13, df 53, P < 0.001 unpaired t-test using Welch’s correction as variances differed significantly).
The ROC analysis (Fig. 7) yielded an area under the curve (C-statistic) of 0.774 (95% CI 0.678 to 0.871). The optimum cut-off exosome concentration associated with a diagnosis of bladder cancer was 85 × 108 per ml which had a sensitivity of 43.2% and specificity of 92.4%.

DISCUSSION

Most current methods for the analysis and quantification of exosomes are time consuming and semi-quantitative. Nanoparticle tracking analysis assesses the concentration and size distribution of particles from a video recording of the particles moving under Brownian motion. Exosomes can be conveniently analyzed in urine samples using this method [19]. In our study, we have demonstrated that exosome concentrations can be assessed in fixed urine samples routinely collected in the clinic. Samples need to be centrifuged to remove cells and debris and larger particles but this is a rapid and simple step. The sample is then diluted in phosphate buffered saline to allow appropriate quantification in the Nanosight, as the particle concentration needs to be in the linear range of the instrument (i.e., 3 × 108 to 109 per ml, [20]). The concentration of exosomes does not change over a 48 hour period after collection and fixation compared to the freshly collected unfixed urine sample. Similarly if a sample is diluted then there is a linear relationship between the exosome concentration and the dilution. Thus exosome concentrations can be conveniently assessed in fixed urine samples with minimal processing. This means that urine samples can be collected and analysed without the patient having to attend a urology clinic.
The size profile of the urinary exosomes is similar to those reported by others [21]. Established exosome markers were also detected on the fixed urinary exosomes [22,23]. The exosomes also exhibited the characteristic cup shape reported in the literature [24].
Urinary exosomes will be derived from a variety of sources including the kidney and bladder so quantification of exosomes from a specific tissue is not possible so far. Exosome concentrations in the urine of a cohort of bladder cancer patients were, on average, significantly increased compared to concentrations in patients presenting for cystoscopy and found not to have a recurrence.
Diagnosis of bladder cancer relies on cystoscopy or urine cytology. However urine cytology has low specificity [25]. Thus there is a need to develop non invasive methods to detect bladder cancer. Our results suggest measuring exosome concentration may have much higher specificity (91.1%) though, at an optimum cut-off value of 85 × 108, sensitivity was only 43.2%. However, a lower cut-off value could be adopted to exclude cancer in patients being monitored for a cancer recurrence in order to avoid an otherwise unnecessary cystoscopy. Further studies are warranted investigating such outcomes and relative costs associated with measuring urinary exosome concentrations and repeat cystoscopies in patients being monitored for bladder cancer recurrence. Further studies also need to be undertaken to investigate the significance of patients with CIS and patients with positive cytology but without visible disease. A larger cohort of patients would allow comparisons of patients with high grade bladder cancer with other grades and comparisons of superficial versus muscle invasive disease.
Tumor markers on urinary exosomes have been found to be useful in the detection of lung cancer [26] and prostate cancer [27,28]. The potential of using biomarkers on urinary exosomes for the detection of bladder cancer has been reviewed by Blackwell et al. [29] and potential markers identified.
Exosomes derived from tumors also play a key role in modifying tumor behavior. Exosomes derived from a bladder cancer cell line (SW780 cells) are internalized by cancer cells [30]. We have also shown that human breast cancer cells also internalize exosomes derived from human breast cancer lines and also from normal human mammary epithelial cells [4]. The release of exosomes from both normal cells and breast cancer cells is regulated by the presence of exosomes from these cells in the extracellular environment. Thus there is a feedback mechanism regulating the release of exosomes [4]. Exosomes also promote the migration of urothelial cells and angiogenesis [15]. Proliferation of bladder tumor cells is promoted by exosomes and apoptosis is inhibited [31]. Thus it is clear that exosomes are key players in interacting with tumor cells and require further study.

CONCLUSIONS

This study investigates the properties and concentrations of exosomes present in fixed urine samples from patients presenting for check cystoscopy and found not to have a recurrence and patients with bladder cancer presenting for transurethral resection of the tumor. Exosome concentrations can be determined in fixed urine samples using a Nanosight LM10 analysis unit. There is no difference in the concentration of exosomes in fresh samples compared to samples that are fixed and measured up to 48 hours later. The fixed exosomes exhibit the characteristic exosome markers, ALIX and TSG101, and have the characteristic cup shaped form as observed in transmission electron micrographs. There was a significant increase in exosome concentration of a group of patients presenting for bladder tumor resection compared to patients presenting for check cystoscopy without a recurrence and, with an appropriate cut-off, the test may have clinical utility for excluding a recurrence in patients in follow-up. As exosome concentrations are constant over a 48 hour in fixed samples, the patient can provide a sample without having to attend a urology clinic. Thus evaluating the properties of exosomes in fixed urine samples may be of value in screening for tumor markers in patients presenting for cystoscopy.

Acknowledgments

None.

References

  1. Pisitkun T, Shen R, Knepper MA (2004) Identification and proteomic profiling of exosomes in human urine. Proc Natl Acad Sci U S A 101: 13368-13373. doi: 10.1073/pnas.0403453101. [View Article] [PubMed] [Google Scholar]
  2. Théry C, Amigorena S, Raposos G, Clayton A (2006) Isolation and characterization of exosomes from cell culture supernatants and biological fluids. In Current Protocols in Cell Biology. John Wiley & Sons, Inc., New York; pp 23.22.21-23.22.29.
  3. Soo CY, Song Y, Zheng Y, Campbell EC, Riches AC, et al. (2012) Nanoparticle tracking analysis monitors microvesicle and exosome secretion from immune cells. Immunology 136: 192-197. doi: 10.1111/j.1365-2567.2012.03569.x. [View Article] [PubMed] [Google Scholar]
  4. Riches A, Campbell E, Borger E, Powis S (2014) Regulation of exosome release from mammary epithelial and breast cancer cells – A new regulatory pathway. Eur. J. Cancer 50: 1025-1034. doi: 10.1016/j.ejca.2013.12.019. [View Article] [PubMed] [Google Scholar]
  5. Hao S, Bai O, Li F, Yuan J, Laferte S, et al. (2006) Mature dendritic cells pulsed with exosomes stimulate efficient cytotoxic T-lymphocyte responses and antitumour immunity. Immunology 120: 90-102. doi: 10.1111/j.1365-2567.2006.02483.x. [View Article] [PubMed] [Google Scholar]
  6. Kosaka N, Iguchi H, Hagiwara K, Yoshioka Y, Takeshita F, et al. (2013) Neutral sphingomyelinase 2 (nSMase2)-dependent exosomal transfer of angiogenic microRNAs regulate cancer cell metastasis. J. Biol. Chem 288: 10849-10859. doi: 10.1074/jbc.M112.446831. [View Article] [PubMed] [Google Scholar]
  7. Peinado H, Alečković M, Lavotshkin S, Matei I, Costa-Silva B, et al. (2012). Melanoma exosomes educate bone marrow progenitor cells toward a pro-metastatic phenotype through MET. Nature Medicine 18: 883-891. doi: 10.1038/nm.2753. [View Article] [PubMed] [Google Scholar]
  8. Marleau AM, Chen C, Joyce JA, Tullis RH (2012) Exosome removal as a therapeutic adjuvant in cancer. J Transl Med 10: 134-1. doi: 10.1186/1479-5876-10-134. [View Article] [PubMed] [Google Scholar]
  9. Skog J, Würdinger T, van Rijn S, Meijer DH, Gainche L, et al. (2008) Glioblastoma microvesicles transport RNA and proteins that promote tumour growth and provide diagnostic biomarkers. Nat Cell Biol 10: 1470-1476. doi: 10.1038/ncb1800. [View Article] [PubMed] [Google Scholar]
  10. Lv L, Cao Y, Liu D, Xu M, Liu H, et al. (2013) Isolation and quantification of microRNAs from urinary exosomes/microvesicles for biomarker discovery. Int J Biol Sci 9: 1021-1031. doi: 10.7150/ijbs.6100. [View Article] [PubMed] [Google Scholar]
  11. Huang X, Liang M, Dittmar R, Wang L (2013) Extracellular microRNAs in urologic malignancies: chances and challenges. Int J Mol Sci 14: 14785-14799. doi: 10.3390/ijms140714785. [View Article] [PubMed] [Google Scholar]
  12. Taylor DD, Gercel-Taylor C (2008) MicroRNA signatures of tumor-derived exosomes as diagnostic biomarkers of ovarian cancer. Gynecol Oncol 110: 13-21. doi: 10.1016/j.ygyno.2008.04.033. [View Article] [PubMed] [Google Scholar]
  13. Rosell R, Wei J, Taron M (2009) Circulating MicroRNA Signatures of Tumor-Derived Exosomes for Early Diagnosis of Non-Small-Cell Lung Cancer. Clin Lung Cancer 10: 8-9. doi: 10.3816/CLC.2009.n.001. [View Article] [PubMed] [Google Scholar]
  14. Rabinowits G, Gerçel-Taylor C, Day JM, Taylor DD, Kloecker GH (2009) Exosomal microRNA: a diagnostic marker for lung cancer. Clin Lung Cancer 10: 42-46. doi: 10.3816/CLC.2009.n.006. [View Article] [PubMed] [Google Scholar]
  15. Beckham CJ, Olsen J, Yin PN, Wu CH, Ting HJ (2014) Bladder cancer exosomes contain EDIL-3/Del1 and facilitate cancer progression. J. Urology 192: 583-592. doi: 10.1016/j.juro.2014.02.035. [View Article] [PubMed] [Google Scholar]
  16. Chen C, Lai Y, Tang P, Chien K, Yu J, et al. (2012) Comparative and targeted proteomic analyses of urinary microparticles from bladder cancer and hernia patients. J Proteome Res 11: 5611-5629. doi: 10.1021/pr3008732. [View Article] [PubMed] [Google Scholar]
  17. Lucocq J, Manifava M, Bi K, Roth MG, Ktistakis NT (2001) Immunolocalisation of phospholipase D1 on tubular vesicular membranes of endocytic and secretory origin. Eur. J. Cell Biol 80: 508-20. doi: 10.1078/0171-9335-00186. [View Article] [PubMed] [Google Scholar]
  18. Lucocq J (2012) Can data provenance go the full monty?. Trends Cell Biol 22: 229-230. doi: 10.1016/j.tcb.2012.03.001. [View Article] [PubMed] [Google Scholar]
  19. Oosthuyzen W, Sime NEL, Ivy JR, Turtle EJ, Street JM, et al. (2013) Quantification of human urinary exosomes by nanoparticle tracking analysis. J Physiol 591: 5833-5842. doi: 10.1113/jphysiol.2013.264069. [View Article] [PubMed] [Google Scholar]
  20. Gardiner C, Ferreira YJ, Dragovic RA, Redman CWG, Sargent IL (2013) Extracellular vesicle sizing and enumeration by nanoparticle tracking analysis. J. Extracell Vesicles 2: 1-11. doi: 10.3402/jev.v2i0.19671. [View Article] [PubMed] [Google Scholar]
  21. Sokolova V, Ludwig A, Hornung S, Rotan O, Horn PA, et al. (2011) Characterisation of exosomes derived from human cells by nanoparticle tracking analysis and scanning electron microscopy. Colloids Surf B Biointerfaces 87: 146-150. doi: 10.1016/j.colsurfb.2011.05.013. [View Article] [PubMed] [Google Scholar]
  22. Akers JC, Gonda D, Kim R, Carter BS, Chen CC (2013) Biogenesis of extracellular vesicles (EV): exosomes, microvesicles, retrovirus-like vesicles, and apoptotic bodies. J Neurooncol 113: 1-11. doi: 10.1007/s11060-013-1084-8. [View Article] [PubMed] [Google Scholar]
  23. Mathivanan S, Ji H, Simpson RJ (2010) Exosomes: extracellular organelles important in intercellular communication. J Proteomics 73: 1907-1920. doi: 10.1016/j.jprot.2010.06.006. [View Article] [PubMed] [Google Scholar]
  24. Zheng Y, Campbell EC, Lucocq J, Riches A, Powis SP (2012) Monitoring the Rab27 associated exosome pathway using nanoparticle tracking analysis. Exp Cell Res 12: 1706-1713. doi: 10.1016/j.yexcr.2012.10.006. [View Article] [PubMed] [Google Scholar]
  25. Lokeshwar VB, Habuchi T, Grossman HB, Murphy WM, Hautmann SH, et al. (2005) Bladder tumor markers beyond cytology: International Consensus Panel on bladder tumor markers. Urology 66: 35-63. doi: 10.1016/j.urology.2005.08.064. [View Article] [PubMed] [Google Scholar]
  26. Li Y, Zhang Y, Qiu F, Qiu Z (2011) Proteomic identification of exosomal LRG1: a potential urinary biomarker for detecting NSCLC. Electrophoresis 32: 1976-1983. doi: 10.1002/elps.201000598. [View Article] [PubMed] [Google Scholar]
  27. Mitchell PJ, Welton J, Staffurth J, Court J, Mason MD, et al. (2009) Can urinary exosomes act as treatment response markers in prostate cancer?. J Transl Med 7: 4. doi: 10.1186/1479-5876-7-4. [View Article] [PubMed] [Google Scholar]
  28. Nilsson J, Skog J, Nordstrand A, Baranov V, Mincheva-Nilsson L, et al. (2009) Prostate cancer-derived urine exosomes: a novel approach to biomarkers for prostate cancer. Br J Cancer 100: 1603-1607. doi: 10.1038/sj.bjc.6605058. [View Article] [PubMed] [Google Scholar]
  29. Blackwell RH, Franzen CA, Flanigan RC, Kuo PC, Gupta GN (2014) The untapped potential of urine shed bladder cancer exosomes: biomarkers, signalling and therapeutics. Bladder 1: e7. doi: 10.14440/bladder.2014.38. [View Article][Google Scholar]
  30. Franzen CA, Simms PE, Van Huis AF, Foreman KE, Kuo PC, et al. (2014) Characterization of uptake and internalization of exosomes by bladder cancer cells. Biomed Res Int 2014: 619829. doi: 10.1155/2014/619829. [View Article] [PubMed] [Google Scholar]
  31. Yang L, Wu X, Wang D, Luo C, Chen L (2013) Bladder cancer cell-derived exosomes inhibit tumor cell apoptosis and induce cell proliferation in vitro. Mol Med Rep 8: 1272-1278. doi: 10.3892/mmr.2013.1634. [View Article] [PubMed] [Google Scholar]

Supplementary Information

Table S1. Age, sex, exosome concentrations in the urine and observations at TURBT.
Table S2. Age, sex, exosome concentrations in the urine, cystoscopy findings of patients presenting for check cystoscopy and found not to have a recurrence of their bladder tumor.
Supplementary information of this article can be found online at http://www.bladderj.org/bladder/rt/suppFiles/63.